资源与环境学院2020届毕业生考研喜报
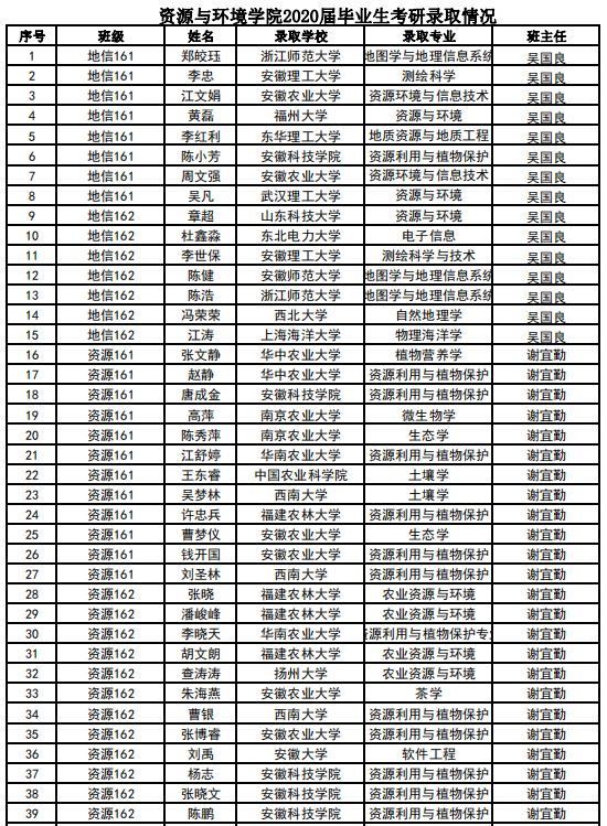
2020年硕士研究生招录结果陆续公布,资源与环境学院2020届毕业生共218人,报考研究生126人,报考率57.8%,达线86人,达线率39.4%,截止到目前,我院2020届毕业生已有70人被录取为硕士研究生,总体录取率为32.1%。其中,地理信息科学专业录取15人,录取率为21.1%;农业资源与环境专业录取26人,录取率为40.6%;环境工程专业录取29人,录取率为34.9%。985、211、科研院所录取24人,占录取总人数的34.2%。地理信息科学专业学生吴凡被武汉理工大学录取,环境工程专业学生徐冉冉、张鑫分别被山东大学、哈尔滨工业大学录取,杨进被中国海洋大学录取,农业资源与环境专业学生张文静、赵静被华中农业大学录取。近年来,在学院党政的正确领导下,学院高度重视学生考研升学工作,把学生考研作为学院提升教学质量、加强学风建设的重要抓手,在建立完备的动员机制和激励机制的同时,不断强化对考研学子的相关服务工作,营造了一个良好的考研升学环境。(特约通讯员:吴国良 审核:李孟良)

